Ahmad Jaffri ppxt Nota Sejarah Tingkatan 1 Bab 1 Study make perfect Nota Sejarah Tingkatan 1 Bab 1 Studywithadmin Nota Sejarah Tingkatan 1. Penulisan sejarah adalah berdasarkan kepada kajian dan penyelidikan terhadap sumber sejarah.
Sejarah Tingkatan 5 Bab 8 Sharavirtual
Nota Sejarah Tingkatan 4 Bab 5 ZK Nota Bab 5 Tingkatan 4 Jawapan MC.
. Nota Pandai adalah inisiatif penyediaan nota ringkas pembelajaran berdasarkan kurikulum sekolah kebangsaan KSSR KSSM. Soalan KBAT Sejarah Tingkatan 4 Bab 5 Jawapan Az Soalan KBAT Sejarah Tingkatan 4 Bab 5 Jawapan Ratu NS 1. Nota Sejarah Tingkatan 4 Bab 5 PL.
Nota Sejarah Bab 5 Tingkatan 4 Nota Padu dan Ringkas Kel 1 Nota Sejarah Tingkatan 4 Bab 5 Nota Ringkas SI. Nota-nota ini telah direka bentuk untuk memantapkan pengetahuan asas Sejarah kepada murid serta menyediakan mereka supaya celik Sejarah inovatif dan berupaya mengaplikasikan pengetahuan Sejarah membuat keputusan dan menyelesaikan masalah dalam kehidupan. Ditulis dalam bentuk nota yang mudah dibaca.
Nota Ringkas dan Padat Sejarah KSSM Tingkatan 1 Bab 1 Bab 8 M Koleksi Nota Modul Latihan Soalan Yang Lain. Nota Sejarah Tingkatan 1 Bab 15 17 Cg Rosle Yasinpptx Nota Sejarah Tingkatan 1 Bab 1 Cg Norizan Bt. Setiap nota disusn mengikut tahun subjek bab dan topik berdasarkan Dokumen Standard Kurikulum dan Pentaksiran DSKP oleh Kementerian Pendidikan Malaysia KPM.
Nota Sejarah Tingkatan 2 KSSM adalah himpunan nota-nota Sejarah yang terpilih dari seluruh negara. Sejarah merupakan displin ilmu tentang peristwa masa lampau. Bab 1 - Warisan Negara Bangsa Bab 2 - Kebangkitan Nasionalisme.
Nota Ringkas dan Padat Sejarah SPM KSSM Terkini. Tingkatan 5 tingkatan lima sijili pelajaran malaysia spm sejarah tingkatan 5 nota ringkas sejarah tingkatan 5 senarai tajuk bab sejarah tingkatan 5 Monday June 27 2022 Trending. Nota Sejarah Tingkatan 5 Bab 1-10 Yang Menarik dan Padat ini adalah untuk kegunaan para guru dan murid-murid untuk memudahkan proses mengingati fakta-fakta dalam mata pelajaran SejarahNota yang dikongsikan terdiri daripada Bab 1 sehingga Bab 10 berdasarkan KSSM.
Sejarah amat penting dalam memupuk semangat cintakan akan negara demi. Nota Sejarah Tingkatan 1. BAB 1 Mengenali Sejarah 110617Cikgu Nurhaini Falini ahmad 1 2.
Sejarah merupakan mata pelajaran yang amat penting dan wajib lulus dalam peperiksaan Sijil Pelajaran Malaysia SPM. Kepelbagaian sumber dan kajian sejarah menyebabkan wujudnya pelbagai tafsiran dalam sejarah.
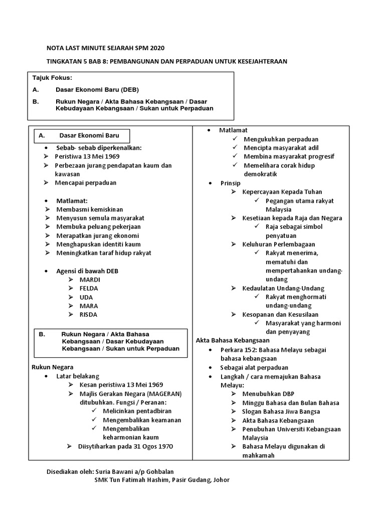
Nota Sejarah Tingkatan 5 Bab 8 Pembangunan Dan Perpaduan Untuk Kesejahteraan Pdf
Doc Nota Ringkas Spm Sejarah Tingkatan 5 Hanisah Ismail Academia Edu
Nota Sejarah Tingkatan 5 Bab 8
Nota Sejarah Tingkatan 4 Bab 8 Pilihan Raya Otosection
Sejarah Tingkatan 5 Bab 8 Nota
Nota Sejarah Tingkatan 5 Kssm Spm Sumber Pendidikan
Nota Sejarah Tingkatan 5 Bab 8 Pembangunan Kesejahteraan Pdf
Sejarah Tingkatan 5 Bab 8 Nota
Bab 8 Tamadun Islam Dan Sumbangannya Worksheet
Nota Sejarah Tingkatan 5 Bab 8
Ting 5 Bab 8 Nota Last Minute Sejarah Pdf
Sejarah T5 Bab 8 Lessons Blendspace
Nota Sejarah Tingkatan 5 Bab 8
Soalan Kbat Sejarah Tingkatan 5 Bab 7 Ahmad Marogi
Nota Ringkas Sejarah Tingkatan 5 Bab 8 Peta Minda Wallpaper
Nota Sejarah Tingkatan 4 Kssm Spm Sumber Pendidikan
Sejarah Tingkatan 5 Kssm Bab 8 Membina Kemakmuran Negara Bahagian 1 Youtube
Nota Sejarah Tingkatan 5 Bab 8 Pembangunan Dan Perpaduan Untuk Kesejahteraan
